This repository contains the implementation and presentation for a tutorial on variable name generation. The goal for this tutorial is to implement an algorithm for converting expressions from a mixed representation to a named representation. This is solved by formulating sound parameter name generation as a constraint satisfaction problem.
The algorithm supports performing the following conversions:
Generate names in a natural order
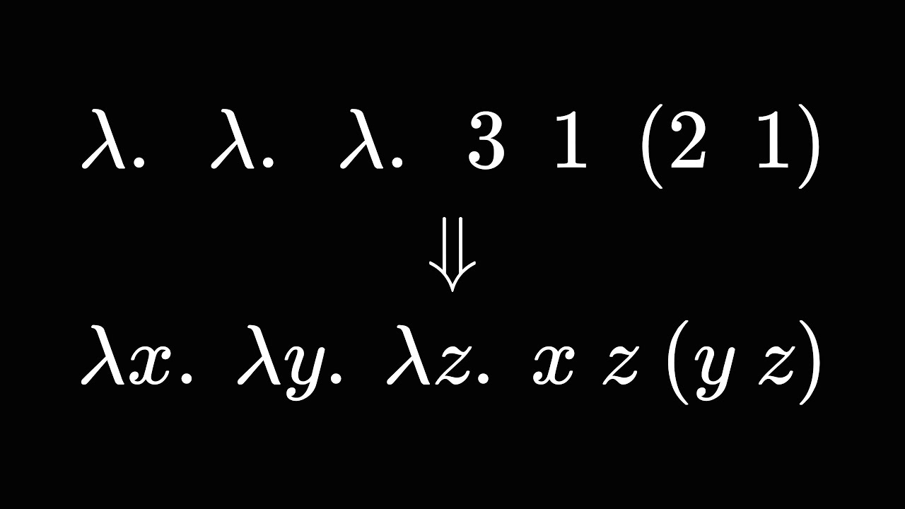
λ. λ. λ. 3 1 (2 1) => λx. λy. λz. x z (y z)
Keep existing parameter names if possible
λf. λ. f 1 => λf. λx. f x
Avoid free variable captures
λ. λ. 2 x 1 => λf. λy. f x y
Mark unused parameters as underscores
λ. λ. 1 => λ_. λx. x
Rename bound variables if necessary
λx. λx. 2 1 => λx. λy. x y
Formally, the grammar for this language is as follows, where x ranges over identifiers ([a-zA-Z][a-zA-Z0-9]*) and i ranges over de Bruijn indices starting at 1:
<expr> ::= x | λx. <expr> | <expr> <expr> | i | λ. <expr>
^^^^^^^^^^^^^^ ^^^^^^^^^^^^^
Named Nameless
This project is split into:
- a Rust implementation, and
- a Motion Canvas presentation for the video.
The main files are listed below:
implementation/
├─ src/
│ ├─ expression.rs Expressions and expression arenas
│ ├─ to_named.rs Convert expressions to named representation
presentation/
├─ src/
│ ├─ scenes/ Animated slides
│ ├─ project.ts Motion Canvas project
Click the image or watch the tutorial on YouTube to follow along step by step.
